树链剖分入门教学
核心思想
一些定义
树链剖分,简称树剖 树分 全称树学分析,是一个基于树形结构和线段树的启发式算法。其核心思想是把一颗树剖分为若干条链条,每段链条独自内部线性连续,然后利用以上特性结合更复杂的数据结构进行维护。
本文介绍的属于 “重链剖分”。其可以用来解决修改树上两点之间路径上每个点的权值、修改子树中每个点权值、以及在线查询以上两种权值的和/最大值等问题。
重链剖分的基本性质是: 对于树上每个节点,额外记录哪一颗子树的节点最多(最重),将这颗子树的根节点记录为重儿子,即节点数最多的子树的根节点为重儿子。特别的,若一个节点有多个子树拥有最多的节点,那么随机选取其中一个的根节点作为重儿子即可。
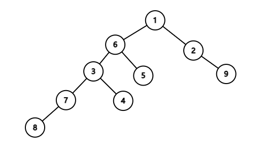
如下图:
图中,我们能很直观的看出,节点1的重儿子就是6,节点2的重儿子是9,节点3的重儿子就是7。”重”的定义是与我们的直观完全符合的。
我们再定义重边是子节点是重儿子的边,反之则为轻边。同样是上面这张图,图中,1-6,6-3,3-7,7-8,2-9便是重边,而其他都属于轻边。我们再称重边连成的链条为重链。如上图,重链就是1-6-3-7-8 和 2-9。特别的,我们认为4、5这样不与任何重边相连接的点,本身构成重链,即 4 和 5 也是重链。容易看出,重链之间由轻边连接,即重链必定为一条链,不会有分叉;且树上每个点属于且仅属于一条重链。
在维护的时候,我们的核心思路就是在重链上一次性更新尽可能多的节点,因为在轻边上我们一次更新的节点数很少。根据这样的性质,我们应当将树上的节点重新编号,并且把重链上的节点编号连续化,以便于区间维护。因此,我们将用 dfs 时的先后顺序来为作为新编号 (记为dfn) ,在dfs的时候先走重儿子,再遍历其他子树,使得重链上的 dfn 必然是连续的。
一些性质
考虑重链剖分的基本性质: 节点数最多的子树的根节点为重儿子。我们从整棵树的根节点出发向下走,走到一个目标节点。如果走重链,那么我们一次走到不能再走重边为止;如果走轻边,那么前往的子树的大小不会超过当前树大小的一半(重链剖分的性质),只会走一次。因此,我们总是在”走重链”和”走轻边”之间切换,而假设树有 $n$ 个节点,因为轻边的子树节点数不超过当前树的节点数的一半,所以我们走轻边的次数不会超过 $\log_2n$ 次,走重链的次数不会超过 $\log_2n + 1$ 次(因为轻-重交替)。因此,对于树上任意路径,轻边和重链的总数不会超过 $O(\log n)$ 数量级。
再回到我们之前的 dfs 的方式,我们通过先访问重儿子使得重链上 dfn 连续,同时又由 dfs 的基本性质,在结束访问一个节点前,需要结束访问其子树上所有的节点。因此,对于一个 dfs 序为 dfn 的点,若其子树(包括自己这个节点)大小为size,则其和其子树的编号,正好覆盖 [dfn,dfn + size -1] 这个整数区间,即 子树的 dfn 连续。
具体实现
首先,我们往往根据情况需要一个维护连续区间,支持区间查询的数据结构。一般来说,我们会对应选用 树状数组/线段树/分块 等数据结构来维护。为简化讨论,本文将统一使用线段树作为维护区间的数据结构。大致如下:
1 | const int N = 1e5 + 3; // 视题目而变 |
其次,我们要通过 dfs 处理出一些关键的信息,而大部分情况下,需要两次dfs。具体维护的信息请看代码注释:
1 | /* 注: 本文节点编号 1-base */ |
应用场景
在线求最近公共祖先(LCA问题)
具体思路类似倍增求 LCA (如果你还不知道LCA以及其倍增解法,点击这里),同样是从两个底部节点往上(根节点)跳寻找第一处祖先相同的地方。不同的是,在重链剖分的情况下,我们向上跳操作,走的是重链和轻边。假设当前有两个节点为 x 和 y,通过交换操作我们保证 dep[top[x]] 不超过 dep[top[y]] ,如果 top[x] 和 top[y] 不相等,说明 LCA 在必定在 top[x] 所在节点的上方,我们将 x 更新为 fat[top[x]],重复以上操作,直到 top[x] = top[y]。此时,x、y已经在同一条重链上,由 LCA 的知识易知,LCA就是 x 和 y 中深度更浅的那个点。
1 | int getLCA(int x,int y) { |
该实现只需要 $O(n)$ 的预处理时间,以及 $O(\log n)$ 的单次查询时间,优于倍增法 $O(n\log n)$ 的预处理时间。而且,一般除了满二叉树、一直走轻边的情况,单次查询很难跑满 $ \log_2 n$ 的 “跳top” 上限次数,实际常数比较小。
维护路径和子树权值
对于查询路径,重链剖分可以将其转化为一个区间维护问题。例题 Luogu3384:
题目描述
如题,已知一棵包含 $N$ 个结点的树(连通且无环),每个节点上包含一个数值,需要支持以下操作:
1 x y z,表示将树从 $x$ 到 $y$ 结点最短路径上所有节点的值都加上 $z$。2 x y,表示求树从 $x$ 到 $y$ 结点最短路径上所有节点的值之和。3 x z,表示将以 $x$ 为根节点的子树内所有节点值都加上 $z$。4 x表示求以 $x$ 为根节点的子树内所有节点值之和
分析
前两个操作其实就是区间修改 + 查询路径权值和。通过树剖,我们可以将其划分为轻边和重链。类似前面求 LCA 的方法,我们在修改的时候依然使用向上跳的方式修改,对于每一次从 x 跳到 top[x] 再变为 fat[top[x]],其 dfn 是连续的。因此,我们可以直接在线段树上修改这一段连续区间。最后,如果 x 已经跳到了 LCA 这个点,x、y已经在一条重链上时,只需再把 dfn[x] 到 dfn[y] 这一段修改了即可。查询同理。此时,单次操作时间复杂度为 $O(\log^2 n)$。
1 | dark::segment_tree <int,N> t; // 线段树 |
后面两个操作则是关于子树信息的维护。由于树剖以后,子树内部 dfn 连续,因此修改子树信息只需一次区间操作即可。单次操作时间复杂度为 $O(\log n)$
1 |
|
综上,经过了 $q$ 次操作以后,该程序的总时间复杂度为 $O(n + q\log^2 n) $。而事实上由于树剖本身常数小,其跑起来像是少了一个 log 一样(但是可以被满二叉树卡满)。
结语
重链剖分是一种独特的数据结构,其通过启发式的划分轻重链并重新编号,使得重链上编号连续,进而将树上路径问题和子树问题问题转化为区间维护问题。其本体核心在于两次 dfs 以及跳 top 的一个过程。事实上写多了重链剖分,你就会发现大部分这方面的基础题主要考察如何转化模型为树剖,以及如何设计内部维护的数据结构(比如线段树、分块等等)。如果想做更多的题目巩固可以参考下 OIwiki 给出的练习 or Conless 的学习计划:







